英文名稱:4,4'-(2-(4-Bromophenyl)-2-phenylethene-1,1-diyl)bis(butoxybenzene)
分子式:C34H35BrO2
分子量:555.54
英文名稱:4,4',4''-(1,3,5-Triazine-2,4,6-triyl)tris(2-fluoroaniline)
分子式:C21H15F3N6
分子量:408.39
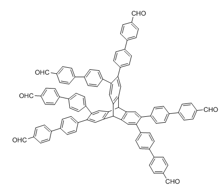
英文名稱:
分子式:C98H62O6
分子量: 1335.5
英文名稱:
分子式:
分子量:
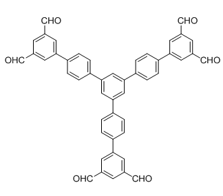
英文名稱:5',5''''-(Anthracene-9,10-diyl)bis(([1,1':3',1''-terphenyl]-4,4''-dicarbaldehyde))
分子式:C54H34O4
分子量:746.86